删除链表中重复的结点
2022
9/23
10:40
在一个排序的链表中,存在重复的结点,请删除该链表中重复的结点,重复的结点不保留,返回链表头指针。 例如,链表 1->2->3->3->4->4->5 处理后为 1->2->5
数据范围:链表长度满足 0≤n≤1000 ,链表中的值满足 1≤val≤1000
进阶:空间复杂度 O(n),时间复杂度 O(n)
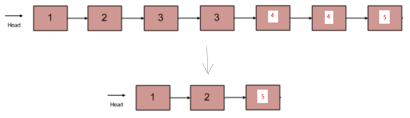
例如输入{1,2,3,3,4,4,5}时,对应的输出为{1,2,5},对应的输入输出链表如下图所示:
示例1
输入: {1,2,3,3,4,4,5}
输出: {1,2,5}
示例2
输入: {1,1,1,8}
输出: {8}
解题思路:
主要记住两个关键点:
1、如何去删除重复元素?
2、如何找到新链表的头?
代码实现:
public class Solution_115 {
private static class ListNode {
int val;
ListNode next = null;
ListNode(int val) {
this.val = val;
}
}
public ListNode deleteDuplication(ListNode pHead) {
if (pHead == null || pHead.next == null) return pHead;
ListNode dNode = new ListNode(-1);
ListNode lastNode = dNode;
while (pHead != null) {
if (pHead.next != null && pHead.val == pHead.next.val) {
while (pHead.next != null && pHead.val == pHead.next.val) {
pHead = pHead.next;
}
pHead = pHead.next;
} else {
lastNode.next = pHead;
lastNode = lastNode.next;
if (pHead != null)
pHead = pHead.next;
}
}
lastNode.next = null;
return dNode.next;
}
public static void main(String[] args) {
ListNode pHead = new ListNode(1);
ListNode next_1 = new ListNode(2);
ListNode next_2 = new ListNode(3);
ListNode next_3 = new ListNode(3);
ListNode next_4 = new ListNode(4);
ListNode next_5 = new ListNode(4);
ListNode next_6 = new ListNode(5);
pHead.next = next_1;
next_1.next = next_2;
next_2.next = next_3;
next_3.next = next_4;
next_4.next = next_5;
next_5.next = next_6;
Solution_115 solution_115 = new Solution_115();
solution_115.deleteDuplication(pHead);
}
}
感谢您使用伴职平台,如有侵权,请投诉删除!


