K 个一组翻转链表
2022
9/8
10:19
给你链表的头节点 head ,每 k 个节点一组进行翻转,请你返回修改后的链表。
k 是一个正整数,它的值小于或等于链表的长度。如果节点总数不是 k 的整数倍,那么请将最后剩余的节点保持原有顺序。
你不能只是单纯的改变节点内部的值,而是需要实际进行节点交换。
示例:
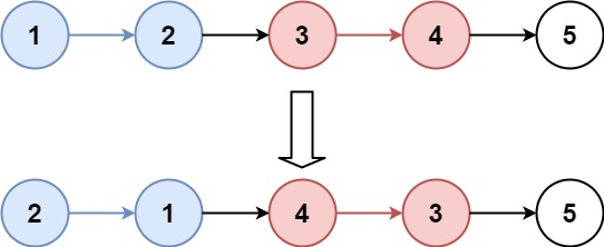
输入:head = [1,2,3,4,5], k = 2
输出:[2,1,4,3,5]
解题思路:
这道题其实记住一点就可以了,每K个节点进行一下反转,反转之后记得拼接成一条新链表,下次反转针对于新的链表进行更改。
代码实现:
public class Solution_113 {
private static class Node {
int value;
Node next;
public Node(int value) {
this.value = value;
}
}
public Node reverseKGroup(Node head, int k) {
if (head == null || head.next == null || k <= 0) return head;
Node hNode = head;
Node preNode = null;
Node startNode = head;
int index = 0;
while (head != null) {
head = head.next;
index++;
if (index % k == 0) {
Node[] nodes = reverse(startNode, head, preNode, head);
preNode = nodes[1];
startNode = head;
if (index / k == 1) {
hNode = nodes[0];
}
}
}
return hNode;
}
private Node[] reverse(Node start, Node end, Node head, Node tail) {
Node lastNode = start;
Node preNode = null;
while (start != end) {
Node temp = start.next;
start.next = preNode;
preNode = start;
start = temp;
}
lastNode.next = tail;
if (head != null) {
head.next = preNode;
}
return new Node[]{preNode, lastNode};
}
public static void main(String[] args) {
Solution_113 solution_113 = new Solution_113();
Node head = new Node(1);
Node next = new Node(2);
Node next1 = new Node(3);
Node next2 = new Node(4);
Node next3 = new Node(5);
head.next = next;
next.next = next1;
next1.next = next2;
next2.next = next3;
Node res = solution_113.reverseKGroup(head, 2);
print(res);
}
private static void print(Node node) {
while (node != null) {
System.out.println(node.value);
node = node.next;
}
}
}
感谢您使用伴职平台,如有侵权,请投诉删除!


