二叉树中的最大路径和
路径 被定义为一条从树中任意节点出发,沿父节点-子节点连接,达到任意节点的序列。同一个节点在一条路径序列中 至多出现一次 。该路径 至少包含一个 节点,且不一定经过根节点。
路径和 是路径中各节点值的总和。
给你一个二叉树的根节点 root ,返回其 最大路径和 。
示例:
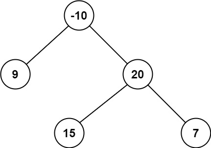
输入:root = [-10,9,20,null,null,15,7]
输出:42
解释:最优路径是 15 -> 20 -> 7 ,路径和为 15 + 20 + 7 = 42
解题思路:
如果我们知道根节点左侧最大路径和和右侧最大路径和,那么就可以根据子树最大路径和计算出整棵树的最大路径和。
如果左右两侧最大路径和都大于0,那么整棵树的最大路径和为:左侧最大路径 + 根节点 + 右侧最大路径和。
如果左侧最大路径和<0,那么整棵树的最大路径和为:根节点 + 右侧最大路径和。
如果右侧最大路径和<0,那么整棵树的最大路径和为:左侧最大路径 + 根节点。
如果左右两侧最大路径和都小于0,那么整棵树的最大路径和为:根节点。
所以我们只需要计算根节点的左侧或右侧的最大路径和,然后根据计算的结果去计算整棵树的最大路径和。
代码实现:
public class Solution_112 {
private static class Node {
int value;
Node left, right;
public Node(int value) {
this.value = value;
}
}
int result = Integer.MIN_VALUE;
public int maxPathSum(Node root) {
maxGain(root);
return result;
}
public int maxGain(Node node) {
if (node == null) {
return 0;
}
// 递归计算左右子节点的最大贡献值
// 只有在最大贡献值大于 0 时,才会选取对应子节点
int leftGain = Math.max(maxGain(node.left), 0);
int rightGain = Math.max(maxGain(node.right), 0);
// 节点的最大路径和取决于该节点的值与该节点的左右子节点的最大贡献值
int priceNewpath = node.value + leftGain + rightGain;
// 更新答案
result = Math.max(result, priceNewpath);
// 返回节点的最大贡献值
return node.value + Math.max(leftGain, rightGain);
}
public static void main(String[] args) {
Solution_112 solution_112 = new Solution_112();
Node root = new Node(-10);
root.left = new Node(9);
Node right = new Node(20);
root.right = right;
right.left = new Node(15);
right.right = new Node(7);
System.out.println(solution_112.maxPathSum(root));
}
}


